网页
资讯
视频
图片
知道
文库
贴吧
地图
采购
进入贴吧
全吧搜索
吧内搜索
搜贴
搜人
进吧
搜标签
日
一
二
三
四
五
六
签到排名:今日本吧第
个签到,
本吧因你更精彩,明天继续来努力!
本吧签到人数:0
一键签到
可签
7
级以上的吧
50
个
一键签到
本月漏签
0
次!
0
成为超级会员,赠送8张补签卡
如何使用?
点击日历上漏签日期,即可进行
补签
。
连续签到:
天 累计签到:
天
0
超级会员单次开通12个月以上,赠送连续签到卡3张
使用连续签到卡
03月18日
漏签
0
天
仙剑电视剧吧
关注:
73,284
贴子:
3,502,416
看贴
图片
吧主推荐
视频
游戏
首页
上一页
1
2
3
4
5
6
7
8
9
10
下一页
尾页
140
回复贴,共
10
页
,跳到
页
确定
<返回仙剑电视剧吧
>0< 加载中...
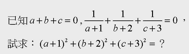
回复:【数学】老邪降临地球 出了一道数学题~地球末日的时间
只看楼主
收藏
回复
心傷_痕
余杭少年
1
该楼层疑似违规已被系统折叠
隐藏此楼
查看此楼
197吧 一百元也是假钞 是斤吧~
31楼
2009-07-30 14:01
回复
收起回复
该楼层疑似违规已被系统折叠
隐藏此楼
查看此楼
我要高难度的数学问题
删除
|
32楼
2009-07-30 14:01
回复
收起回复
2026-03-18 18:19:21
广告
不感兴趣
开通SVIP免广告
该楼层疑似违规已被系统折叠
隐藏此楼
查看此楼
197你个头
删除
|
33楼
2009-07-30 14:02
回复
收起回复
梦剧场松鼠
三生石刻
9
该楼层疑似违规已被系统折叠
隐藏此楼
查看此楼
假钞那题见了几百次了.......
34楼
2009-07-30 14:03
回复
收起回复
该楼层疑似违规已被系统折叠
隐藏此楼
查看此楼
老板无非就是损失了一个18元成本的东西 和79元真钱 他哪里还有多余损失的钱了
删除
|
35楼
2009-07-30 14:03
回复
收起回复
心傷_痕
余杭少年
1
该楼层疑似违规已被系统折叠
隐藏此楼
查看此楼
难的?? 这个喔
36楼
2009-07-30 14:03
回复
收起回复
心傷_痕
余杭少年
1
该楼层疑似违规已被系统折叠
隐藏此楼
查看此楼
是这样吗
37楼
2009-07-30 14:04
回复
收起回复
NIC╃魚魚
渝州伙计
5
该楼层疑似违规已被系统折叠
隐藏此楼
查看此楼
等于0
38楼
2009-07-30 14:10
回复
收起回复
2026-03-18 18:13:21
广告
不感兴趣
开通SVIP免广告
NIC╃魚魚
渝州伙计
5
该楼层疑似违规已被系统折叠
隐藏此楼
查看此楼
居然没人说出答案,看来还是我厉害(自恋下……)
39楼
2009-07-30 14:17
回复
收起回复
大西南水工
余杭少年
1
该楼层疑似违规已被系统折叠
隐藏此楼
查看此楼
这个算直播吗?两数学高手决战!
40楼
2009-07-30 14:30
回复
收起回复
侯木西
渝州伙计
5
该楼层疑似违规已被系统折叠
隐藏此楼
查看此楼
36
41楼
2009-07-30 14:34
回复
收起回复
梦剧场松鼠
三生石刻
9
该楼层疑似违规已被系统折叠
隐藏此楼
查看此楼
麻痹的...答案还真的0
42楼
2009-07-30 14:34
回复
收起回复
梦剧场松鼠
三生石刻
9
该楼层疑似违规已被系统折叠
隐藏此楼
查看此楼
38楼那个是猜的么....这么准...
43楼
2009-07-30 14:35
回复
收起回复
侯木西
渝州伙计
5
该楼层疑似违规已被系统折叠
隐藏此楼
查看此楼
补充一下,其他题目“269743657”均为正解。
44楼
2009-07-30 14:35
回复
收起回复
2026-03-18 18:07:21
广告
不感兴趣
开通SVIP免广告
我要杀回阿富汗
似水无痕
10
该楼层疑似违规已被系统折叠
隐藏此楼
查看此楼
回复:42楼
你抽咯?
会是0?
IP属地:四川
45楼
2009-07-30 14:35
回复
收起回复
登录百度账号
扫二维码下载贴吧客户端
下载贴吧APP
看高清直播、视频!
贴吧热议榜
1
母亲临别授教,吧友被痛催熟
1950780
2
留子回国单干,补贴拿到手软
1823926
3
以军空袭,伊朗最高安全官遇害
1586060
4
绝!演出服吊牌堪称巨无霸
1418499
5
漏洞套现400W,少年获六年刑期
1285648
6
籽岷又爆典:玩家需适应游戏
1142925
7
KDA不服,猎魔女团荣获奥斯卡
1043472
8
鸣潮公益献血,遭恶意P图抹黑
916711
9
亲身游沪杭,老外认知被掀翻
893134
10
现金退货被拒,顾客当众撒泼
707028
贴吧页面意见反馈
违规贴吧举报反馈通道
贴吧违规信息处理公示